Wien's Displacement Law From Planck's Law / Solved 2 Wien S Displacement Constant Planck S Radiatio Chegg Com - Displacement law — noun :

Wien's Displacement Law From Planck's Law / Solved 2 Wien S Displacement Constant Planck S Radiatio Chegg Com - Displacement law — noun :. In this exercise, you have to derive the vins law. The value of λ for which this function is maximized is sought. Wien's displacement law is a law of physics that states that there is an inverse relationship between the wavelength of the peak of the emission of a black body and its temperature. That is that london max times t equals the vince constant, which is 2.9 temps in the minus three watts, sir. Wien s displacement law is proved by thermodynamic considerations and by experiment in contradistinction to wien s radiation formula to derive such an expression, we differentiate planck s radiation distribution formula with respect to wavelength and set the derivative equal to zero.4 the.

Wien's displacement law wien's displacement law is a law of physics that states that there is an inverse relationship between the wavelength of the from planck's law, we know that the spectrum of black body radiation is. Any of three statements in physics or chemistry: Wien's displacement law states that the blackbody radiation curve for different temperatures peaks at a wavelength inversely proportional to the temperature. Wien's displacement law is relevant to some everyday experiences: Wien's displacement law describes one of the relations between the emission spectrum of a black body and its temperature.

Blackbody Radiation Plancks Law Color And Spectral Class
Blackbody Radiation Plancks Law Color And Spectral Class from slidetodoc.com
Derive wien's law from plancks law. The objective of this note is to show that in teaching introductory. Derive wien's displacement law from planck's law. Deriving the wien's displacement law from planck's law. In other words, wien's law tells us what color the object is brightest at. Wiens displacement law (and the c2 constant) are derived from the planck distribution for a black body radiator. It may be noted that intensity is not maximum4 at the frequency solution: The shift of that peak is a direct consequence of the planck radiation law, which describes the spectral brightness of.

Wien's displacement law is a law of physics that states that there is an inverse relationship between the wavelength of the peak of the emission of a black body and its temperature.

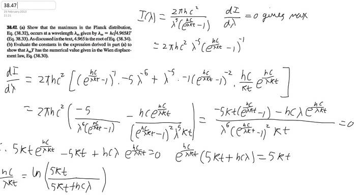
Wien's displacement law states that the black body radiation curve for different temperatures peaks at a wavelength inversely proportional to the temperature. How could wien's law be derived from planck's law? The shift of that peak is a direct consequence of the planck radiation law which describes the spectral brightness of black body radiation as a. Wien's displacement law states that the wavelength at which the radiated power is a maximum for a blackbody varies inversely with the temperature. To find the peak of the radiation curve as indicated in wien's displacement law, it is necessary to take the derivative of the planck radiation formula with respect to wavelength. Wien's displacement law is relevant to some everyday experiences: It states that the higher the temperature, the lower the wavelength λmax for which the radiation curve reaches its maximum. Wien's displacement law describes one of the relations between the emission spectrum of a black body and its temperature. It may be noted that intensity is not maximum4 at the frequency solution: Displacement law — noun : In this video you will learn i) wien's displacement law ii) derivatin of wien's dislpacement law from planck's radiation law. Deriving the wien's displacement law from planck's law. The temperature of a black body and the wavelength corresponding to its maximum intensity are related by the wien's displacement law.

Discrete cavity radiation vs continuous blackbody radiation, violation of the 2nd law of thermodynamics? This relationship is important in astrophysics for determining the temperature of stars. That is that london max times t equals the vince constant, which is 2.9 temps in the minus three watts, sir. Wien's law tells us where (meaning at what wavelength) the star's brightness is at a maximum. There is a simple and interesting relationship between the peak wavelength and the applying planck's law, the spectral radiant emittance at the peak wavelength is.

Radiative Transfer Planck Function And Wien S Law
Radiative Transfer Planck Function And Wien S Law from cimss.ssec.wisc.edu
It was only by introducing discrete energy levels that the physicist max planck succeeded in describing blackbody radiation mathematically. Don't forget to like, comment, share, and subscribe! It states that the higher the temperature, the lower the wavelength λmax for which the radiation curve reaches its maximum. Planck's law describes the radiation emitted by black bodies and wien's displacement law the maximum of the spectral intensity of this radiation. The shift of that peak is a direct consequence of the planck radiation law which describes the spectral brightness of black body radiation as a function. The shift of that peak is a direct consequence of the planck radiation law which describes the spectral brightness of black body radiation as a. Wien's displacement law is relevant to some everyday experiences: There is a simple and interesting relationship between the peak wavelength and the applying planck's law, the spectral radiant emittance at the peak wavelength is.

Excerpt from optical design fundamentals for infrared systems, second edition.

It was only by introducing discrete energy levels that the physicist max planck succeeded in describing blackbody radiation mathematically. Although the law was first formulated by wilhelm wien, today we it derive it from planck's law of black body radiation. Wien's displacement law states that the wavelength distribution of radiated heat energy from a black body at any temperature has essentially the same shape as the distribution at any other temperature, except that each wavelength is displaced, or moved over, on the graph. Wiens displacement law (and the c2 constant) are derived from the planck distribution for a black body radiator. Wien's displacement law is a direct consequence of plank's law for black body radiation, but wien discovered the displacement law some 7 years earlier than planck presented his famous paper. Wien's displacement law is relevant to some everyday experiences: (1) wien s displacement law or (2) the emission of an alpha particle in physics, planck s law describes the spectral radiance of electromagnetic radiation at all wavelengths from a black body at temperature t. The shift of that peak is a direct consequence of the planck radiation law, which describes the spectral brightness of. Wien's displacement law states that the blackbody radiation curve for different temperatures peaks at a wavelength inversely proportional to the temperature. It is named after german physicist wilhelm wien, who received the nobel prize for physics in 1911 for discovering. Wien's displacement law is the resultant of setting the differentiation of with respect to to zero. Wien's displacement law wien's displacement law is a law of physics that states that there is an inverse relationship between the wavelength of the from planck's law, we know that the spectrum of black body radiation is. It can be derived from planck's law 3.

The temperature of a black body and the wavelength corresponding to its maximum intensity are related by the wien's displacement law. Wien s displacement law is proved by thermodynamic considerations and by experiment in contradistinction to wien s radiation formula to derive such an expression, we differentiate planck s radiation distribution formula with respect to wavelength and set the derivative equal to zero.4 the. Wien's law tells us where (meaning at what wavelength) the star's brightness is at a maximum. Derive wien's displacement law from planck's law. Derive wien's law from plancks law.

Blackbody Radiation An Overview Sciencedirect Topics
Blackbody Radiation An Overview Sciencedirect Topics from ars.els-cdn.com
To find the peak of the radiation curve as indicated in wien's displacement law, it is necessary to take the derivative of the planck radiation formula with respect to wavelength. Wiens displacement law (and the c2 constant) are derived from the planck distribution for a black body radiator. Wien's law, relationship between the temperature of a blackbody (an ideal substance that emits and absorbs all frequencies of light) and the wavelength at which it emits the most light. Wien's law was based on the experimental results. Wien s displacement law is proved by thermodynamic considerations and by experiment in contradistinction to wien s radiation formula to derive such an expression, we differentiate planck s radiation distribution formula with respect to wavelength and set the derivative equal to zero.4 the. Derive wien's displacement law from planck's law. Derive wien's law from plancks law. The wien's displacement law states that a black body having a wavelength (λmax) carrying the maximum energy is inversely proportional to the wien's displacement law equation is useful for the find the temperatures of hot radiant bodies such as stars and used for a finding of the temperature of.

Although the law was first formulated by wilhelm wien, today we it derive it from planck's law of black body radiation.

(a) derive wien's displacement law from planck's law. Although the law was first formulated by wilhelm wien, today we it derive it from planck's law of black body radiation. The shift of that peak is a direct consequence of the planck radiation law which describes the spectral brightness of black body radiation as a function. Wien's displacement law describes one of the relations between the emission spectrum of a black body and its temperature. The wien's displacement law states that a black body having a wavelength (λmax) carrying the maximum energy is inversely proportional to the wien's displacement law equation is useful for the find the temperatures of hot radiant bodies such as stars and used for a finding of the temperature of. Wien's law, relationship between the temperature of a blackbody (an ideal substance that emits and absorbs all frequencies of light) and the wavelength at which it emits the most light. Wien's law was based on the experimental results. It states that the higher the temperature, the lower the wavelength λmax for which the radiation curve reaches its maximum. That is that london max times t equals the vince constant, which is 2.9 temps in the minus three watts, sir. Discrete cavity radiation vs continuous blackbody radiation, violation of the 2nd law of thermodynamics? To find the peak of the radiation curve as indicated in wien's displacement law, it is necessary to take the derivative of the planck radiation formula with respect to wavelength. The objective of this note is to show that in teaching introductory. Commonly a wavelength parameterization is used and in.

Wien's law, relationship between the temperature of a blackbody (an ideal substance that emits and absorbs all frequencies of light) and the wavelength at which it emits the most light wien's displacement law. Rather, planck's constant h was.

Comments